
|
Draft for Information Only
ContentFluid Kinematics
Fluid KinematicsKinematics is the study of the velocity and acceleration of the fluid motion.
There are two methods to study the motion of fluid. One way can focus on fluid particles
by tracking their position vector, i.e.
Velocity FieldFluid property can be represented as a function of spatial coordinates in term of a field representation. For a fluid flow, it is also a function of time.
When the velocity value of a location equals to zero, Acceleration FieldIn a fluid flow, the velocity of a particle is a function of
its location and time. Imply
imply
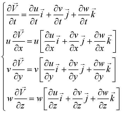
Since the equation can be used to describe any particle, the
acceleration field can be obtained from the velocity field as And the total acceleration can be expressed as
Since the total derivative operator
The total acceleration is therefore also called material acceleration. ©sideway ID: 100100002 Last Updated: 2/7/2010 Revision: 1 Latest Updated Links
Nu Html Checker 53 na |
![]() Home 5 Business Management HBR 3 Information Recreation Hobbies 9 Culture Chinese 1097 English 339 Travel 44 Reference 79 Hardware 55 Computer Hardware 260 Software Application 213 Digitization 37 Latex 52 Manim 205 KB 1 Numeric 19 Programming Web 289 Unicode 504 HTML 66 CSS 65 SVG 46 ASP.NET 270 OS 431 DeskTop 7 Python 72 Knowledge Mathematics Formulas 8 Set 1 Logic 1 Algebra 84 Number Theory 206 Trigonometry 31 Geometry 34 Calculus 67 Engineering Tables 8 Mechanical Rigid Bodies Statics 92 Dynamics 37 Fluid 5 Fluid Kinematics 5 Control Acoustics 19 Natural Sciences Matter 1 Electric 27 Biology 1 |
Copyright © 2000-2026 Sideway . All rights reserved Disclaimers last modified on 06 September 2019