
|
Draft for Information Only
ContentFluid Properties
Fluid PropertiesViscosityViscosity or Dynamic Viscosity is used to describe the fluidity property or the internal resistance of a fluid to motion. From experimental observation, when a fluid flows over a solid surface, it comes to a complete stop at the surface and sticks on it. This is known as the no-slip condition and all liquids and gases satisfy this condition. When considering a hypothetical experiment in which fluid is located between the small gap of two parallel plates. By fixing the bottom plate at rest and moving the upper plate at a constant velocity, the fluid deforms continuously under the shear force.
Because of the no-slip condition, the fluid contacts with the bottom fixed plate
has a zero velocity, while the fluid contacts with the upper moving plate moves
with the same upper plate velocity. As
For steady laminar flow, the velocity profile of the flow varies linearly away
from the fixed plate, i.e.
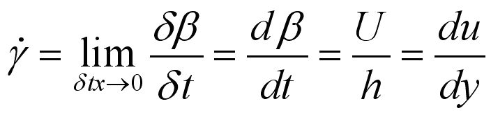
For a small time increment
From experimental results, the rate of shearing strain
Fluids with shearing stress linearly proportion to the rate of shearing strain
that can be described by a simple constant are called Newtonian fluids,
The ratio of dynamic viscosity to density usually appears and is named as
kinematic viscosity, i.e.
©sideway ID: 100100005 Last Updated: 1/25/2010 Revision: 0 Latest Updated Links
Nu Html Checker 53 na |
![]() Home 5 Business Management HBR 3 Information Recreation Hobbies 9 Culture Chinese 1097 English 339 Travel 45 Reference 79 Hardware 55 Computer Hardware 261 Software Application 213 Digitization 37 Latex 52 Manim 205 KB 1 Numeric 19 Programming Web 289 Unicode 504 HTML 66 CSS 65 SVG 46 ASP.NET 270 OS 431 DeskTop 7 Python 72 Knowledge Mathematics Formulas 8 Set 1 Logic 1 Algebra 84 Number Theory 206 Trigonometry 31 Geometry 34 Calculus 67 Engineering Tables 8 Mechanical Rigid Bodies Statics 92 Dynamics 37 Fluid 5 Control Acoustics 19 Natural Sciences Matter 1 Electric 27 Biology 1 |
Copyright © 2000-2026 Sideway . All rights reserved Disclaimers last modified on 06 September 2019