
Draft for Information Only
ContentVortex Flows
Vortex FlowsVortex flowWhen fluid flows in a circular paths where the streamlines of a flow field are concentric circles is called vortex flow. Solid Body RotationFor solid body or forced vortex rotation, the velocity is
proportional to the radius of the streamline. In terms of polar coordinate,
Irrotational vortex
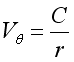
For irrotational or free vortex rotation, the velocity is inversely proportional
to the radius of the streamline. In terms of polar coordinate,
![]() ©sideway ID: 100200006 Last Updated: 2/22/2010 Revision: 0 Latest Updated Links
Nu Html Checker 53 na |
![]() Home 5 Business Management HBR 3 Information Recreation Hobbies 9 Culture Chinese 1097 English 339 Travel 44 Reference 79 Hardware 55 Computer Hardware 260 Software Application 213 Digitization 37 Latex 52 Manim 205 KB 1 Numeric 19 Programming Web 289 Unicode 504 HTML 66 CSS 65 SVG 46 ASP.NET 270 OS 431 DeskTop 7 Python 72 Knowledge Mathematics Formulas 8 Set 1 Logic 1 Algebra 84 Number Theory 206 Trigonometry 31 Geometry 34 Calculus 67 Engineering Tables 8 Mechanical Rigid Bodies Statics 92 Dynamics 37 Fluid 5 Fluid Kinematics 5 Control Acoustics 19 Natural Sciences Matter 1 Electric 27 Biology 1 |
Copyright © 2000-2026 Sideway . All rights reserved Disclaimers last modified on 06 September 2019