
Draft for Information Only
Content
Sound Level
Sound Level
The range of sound pressure varies from 20x10-6 Pascals at the threshold of
hearing , up to 200 Pascals in the region of pain level or instantaneous damage.
The sound pressure is small when comparing with the normal atmospheric pressure
of 105. Decibels, dB
Decibel is a logarithmic scale used to measure the sound pressure level (SPL) in
practice. This is not an absolute scale, it is comparative scale with a
reference sound pressure of average threshold of hearing, 20µPa at 1000Hz.
where
Lp is the sound pressure level Noise AdditionThe global level of the total sound level is the algebraic sum of the acoustic energies, Therefore for random sounds, as there is no interference, the superimposing of sounds at each point in space is only the summation of all energy sum. The resultant acoustic energy is the sum of individual acoustic source energies, not the sound levels of sources. But for related sound sources, the resultant acoustic pressure field due to acoustic sources is the algebraic sum of the waveforms of each sources. The sum of acoustic pressure is time and space dependent. The resultant sound may have a larger amplitude with constructive interference or a smaller amplitude with destructive interference. For uncorrelated or incoherent random noise, the acoustic pressures radiated from two sources A and B:
where
LpA is sound level of source A Since the sound pressure ratio square in term of sound level is:
The total sound level at a point in space by superimposing is:
Or:
For example:
Multi sources 90dB, 100dB, 73dB and 93dB
Noise Level SubtractionWhen measuring the noise radiated by a noise source, the background noise from other sources is also included in the measurement reading by superimposing.
In order to determine the actual noise level of a source, the background noise level should be measured before running the noise. Let A is the new noise source and B be the background noise. That is
Therefore, the noise level of the new noise source:
Or:
For example:
Measured total noise level 90.05dB and background noise 90dB
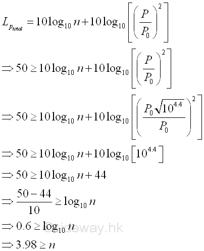
Noise Control ExampleThe noise level of 10 identical machines operating in a room is 54dB. In order to reduce the noise level to 50dB, the maximum number of machines can be used is? Since ten identical machines run independently from each others, the noise from the ten identical machines can be considered as uncorrelated sound sources. The total noise level at a point in space generated by n identical machines can be determined by superimposing. imply
Therefore the sound pressure generated by one machine is
The maximum number of machines can be used to generate the maximum sound level 50dB is
let n be 4, the total sound level is
Since the total sound level only exceed 0.02dB, using maximum 4 machines are acceptable.
©sideway ID: 100900008 Last Updated: 7/29/2012 Revision: 2 Ref: References
Latest Updated Links
Nu Html Checker 53 na |
![]() Home 5 Business Management HBR 3 Information Recreation Hobbies 9 Culture Chinese 1097 English 339 Travel 41 Reference 79 Hardware 55 Computer Hardware 260 Software Application 213 Digitization 37 Latex 52 Manim 205 KB 1 Numeric 19 Programming Web 289 Unicode 504 HTML 66 CSS 65 SVG 46 ASP.NET 270 OS 431 DeskTop 7 Python 72 Knowledge Mathematics Formulas 8 Set 1 Logic 1 Algebra 84 Number Theory 206 Trigonometry 31 Geometry 34 Calculus 67 Engineering Tables 8 Mechanical Rigid Bodies Statics 92 Dynamics 37 Fluid 5 Control Acoustics 19 Natural Sciences Matter 1 Electric 27 Biology 1 |
Copyright © 2000-2026 Sideway . All rights reserved Disclaimers last modified on 06 September 2019