
|
Draft for Information Only
Content Wave Reflection inside Enclosures, 1D
Wave Reflection inside Enclosures, 1DA sound source radiates outwardly in any direction in a free source will always encounter reflecting surfaces unless the sound source is place in an anechoic chamber where all sound energy is almost absorbed with any reflection. And in such case then only wave equation should be satisified without any boundary conditions. Multiple reflection in an enclosure due to the wall creates standing waves with acoustic modes charactered by frequencies and mode shapes. These modes should satisfied the wave equation and boundary conditions simultaneously. The boundary conditions are usually defined in terms of continuity between the wall motion and the particle velocity.
The wall characteristics are usually expressed in term of impedance. A rigid wall is used to describe a wall with higher impedance while a soft wall is used to describe a wall with lower impedance.
Duct, 1D mode, with two closed ends
The 1D wave equation is
Assume harmonic sound wave imply
Take the time differential operation, imply
And get the Helmoltz equation,
Assume the solution of the equation of the form,
Assume the two closed ends are rigid wall, the boundary conditions at two ends are with particle velocity equals to zero, imply
From the equation of momentum conservation
At x = 0 or x=L, u=0, therefore the time derivative of u is zero also, imply:
From boundary condition at x=0, imply:
From boundary condition at x=L, imply:
Substitute k, A and B into the pressure function, imply:
Therefore the natural frequency and mode shape is:
Duct, 1D mode, with two open ends
The 1D wave equation is
Assume harmonic sound wave imply
Take the time differential operation, imply
And get the Helmoltz equation,
Assume the solution of the equation of the form,
With two open ends, the boundary conditions at two ends are with pressure equals to zero, imply
From boundary condition at x=0, imply:
From boundary condition at x=L, imply:
Substitute k, A and B into the pressure function, and p<>0, imply:
Therefore the natural frequency and mode shape is:
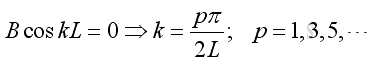
Duct, 1D mode, with one end open and one end closed
The 1D wave equaton is
Assume harmonic sound wave imply
Take the time differential operation, imply
And get the Helmoltz equation,
Assume the solution of the equation of the form,
Assume the closed end is rigid wall, the boundary conditions at closed end is with particle velocity equals to zero, imply
From the equation of momentum conservation
At x = 0, u=0, therefore the time derivative of u is zero also, imply: o, imply:
From boundary condition at x=0, imply:
From boundary condition at x=L, imply:
Substitute k, A and B into the pressure function, imply:
Therefore the natural frequency and mode shape is:
©sideway ID: 101000021 Last Updated: 10/20/2010 Revision: 0 Ref: References
Latest Updated Links
Nu Html Checker 53 na |
![]() Home 5 Business Management HBR 3 Information Recreation Hobbies 9 Culture Chinese 1097 English 339 Travel 45 Reference 79 Hardware 55 Computer Hardware 261 Software Application 213 Digitization 37 Latex 52 Manim 205 KB 1 Numeric 19 Programming Web 289 Unicode 504 HTML 66 CSS 65 SVG 46 ASP.NET 270 OS 431 DeskTop 7 Python 72 Knowledge Mathematics Formulas 8 Set 1 Logic 1 Algebra 84 Number Theory 206 Trigonometry 31 Geometry 34 Calculus 67 Engineering Tables 8 Mechanical Rigid Bodies Statics 92 Dynamics 37 Fluid 5 Control Acoustics 19 Natural Sciences Matter 1 Electric 27 Biology 1 |
Copyright © 2000-2026 Sideway . All rights reserved Disclaimers last modified on 06 September 2019