
Draft for Information Only
Reactive SilencersSilencers is an acoustic filter to reduce acoustic energy. There are two type of silencers. One is dissipative by the dissipation of acoustic energy in the materials or the internal structures of the material. Another is reactive by making use of the wave reflection due to the impedance mismatch in an expansion chamber.
Assumptions Assumptions are made to simplify the model. The flow velocity of the gas is extremely slow that it can be neglected. No acoustic energy is transmitted through the walls of silencer. The acoustic waves are assumed to be plane wave and continuity conditions hold between mediums. There is no relfection wave at the outlet section.: Waves in Silencer At the intake tube:
At the chamber:
At the outlet, convert to x to 0 at L:
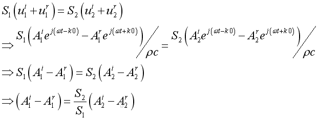
Law of Continuity pressure continuity at x=0:
mass flow continuity at x=0:
pressure continuity at x=L:
mass flow continuity at x=L:
From the continuity conditions at x=0, imply
From the continuity conditions at x=L, imply
Equating two continuity conditions and get
Equating two continuity conditions and get
Transmission Loss The transmission loss is:
From the transmission loss, the performance of a reactive silencer depends on the dimension of the the silencer and the operating frequency. When sinkL=0, there is no attenuation because of the resonance of the chamber. And because it is a square sin function, the attenuation varies with the operating frequencies. A larger cross sectional area ratio can increase the attenuation level without changing the resonance frequencies. Change of the length of the chamber only increase the number of resonance frequency. does not change the attenuation level.. ©sideway ID: 101000019 Last Updated: 10/19/2010 Revision: 0 Ref: References
Latest Updated Links
Nu Html Checker 53 na |
![]() Home 5 Business Management HBR 3 Information Recreation Hobbies 9 Culture Chinese 1097 English 339 Travel 41 Reference 79 Hardware 55 Computer Hardware 260 Software Application 213 Digitization 37 Latex 52 Manim 205 KB 1 Numeric 19 Programming Web 289 Unicode 504 HTML 66 CSS 65 SVG 46 ASP.NET 270 OS 431 DeskTop 7 Python 72 Knowledge Mathematics Formulas 8 Set 1 Logic 1 Algebra 84 Number Theory 206 Trigonometry 31 Geometry 34 Calculus 67 Engineering Tables 8 Mechanical Rigid Bodies Statics 92 Dynamics 37 Fluid 5 Control Acoustics 19 Natural Sciences Matter 1 Electric 27 Biology 1 |
Copyright © 2000-2026 Sideway . All rights reserved Disclaimers last modified on 06 September 2019