
|
Draft for Information Only
Content
Pollard's p-1 Method
Pollard's p-1 MethodPollard's p-1 method is a prime factorization algorithm discovered by John Pollard in 1974. Limited by the algorithm, the Pollard's p-1 method is only work for integers with specific factors. Pollard's p-1 AlgorithmFor a composite integer, n, with a prime factor p, if p-1 can be expressed in terms of a product of primes and k is a multiple of p-1. By selecting an integer, a, which is greater than 1 and is coprime to n, then
Imply
Since a is coprime to n, a is coprime to p also. Imply
From Fermat's little theorem, if p does not divide a, then
Similarly, If k is a multiple of p-1, then
Imply p is a non-trivial divisor of ap-1-1 or ak-1 .
Since p is also a prime factor of n, p divides the greatest common divisor of ap-1-1 or ak-1, and n.
Therefore, if the greatest common divisor of ak-1, and n is greater than 1, the greatest common divisor is a factor of n also. Pollard's p-1 MethodAlthough the Pollard's p-1 algorithm cannot be used to determine the prime factor p directly, the Pollard's p-1 method is an efficient prime factor finding method for composite integers with specific types of prime factors by choosing and testing some integers systematically. Smooth Number MethodSmooth NumberOne of the number choosing method for integer k is the making use of the concept of smooth number and the specific type of prime factor, i.e. p-1 is the product of primes. Let x and B be integers. x is said to be B-smooth if all the prime divisors of n are less than or equal to B.
Example of Smooth Number
Although B is usually a prime number, B can be a composite number providing that B is greater than or equal to the largest prime factor of x. The key information from a B-smooth number is the prime factor of a number. However, there is no information on the power or index of the prime factor. The lowest B-smooth of a number is the greatest prime factor of the number. Pollard's P-1 Methed by Smooth NumberSince p-1 divides k, by assuming p-1 is B-smooth, if k is also B-smooth then the choosen integer k should be sufficienly large to ensure p-1 divides k. Therefore k is the product of all prime factors with powers less than and equal to B and the index or power ei for each prime factor pi less than and equal to B of k should be just less than and equal to n. Imply
Pollard's P-1 Methed by Smooth Number Example 1For example: n=203=p*q=7*29; let B=5 imply
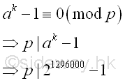
Therefore for B=5, k5 or (p5-1)m5 is equal to 1296000. Fermat's Little Theoremlet a=2, by Fermat's little theorem, let p be one of the prime factors of n, imply
Greatest Common DivisorSince ak-1 is a very large number, before finding the greatest common divisor of n and ak-1, ak-1 can be raised to the high power modulo n. Imply Using squarings modulo
Using binary squarings modulo
and using the residue to calculate the greatest common divisor. Imply
The greatest common divisor of n and ak-1 is Using Euclid's algorithm
Imply
Integer 7, the greatest common divisor of n and ak-1 is also the prime divisor of n. And p-1 is 5-smooth.
Since the greatest prime factor of p-1 is 3-smooth also. And therefore the prime factor 7 can also be found by using B=3
let a=2, by Fermat's little theorem, imply p divides 210368-1 ≡ 168 (mod 203) The greatest common divisor of n and ak-1 is gcd(168,203)= 7 And 7 is the prime divisor of n as before. ©sideway ID: 120500004 Last Updated: 5/15/2012 Revision: 1 Latest Updated Links
Nu Html Checker 53 na |
![]() Home 5 Business Management HBR 3 Information Recreation Hobbies 9 Culture Chinese 1097 English 339 Travel 41 Reference 79 Hardware 55 Computer Hardware 260 Software Application 213 Digitization 37 Latex 52 Manim 205 KB 1 Numeric 19 Programming Web 289 Unicode 504 HTML 66 CSS 65 SVG 46 ASP.NET 270 OS 431 DeskTop 7 Python 72 Knowledge Mathematics Formulas 8 Set 1 Logic 1 Algebra 84 Number Theory 206 Trigonometry 31 Geometry 34 Calculus 67 Engineering Tables 8 Mechanical Rigid Bodies Statics 92 Dynamics 37 Fluid 5 Control Acoustics 19 Natural Sciences Matter 1 Electric 27 Biology 1 |
Copyright © 2000-2026 Sideway . All rights reserved Disclaimers last modified on 06 September 2019