
| Draft for Information Only ContentRelated RatesRelated RatesSometimes, the derivative, instantaneous rate of change can also be used as related rates of change for determining the unknown rate of change by the known rate of change. In the maximum or minimum problems, the change of two variables are usually related by a simple relationship. But in the related rate of change problems, the rates of change of two varibales are usually related by parameters. For example, the parameters of the volume and surface area of the rectangular container in the maximum or minimum problems are length, wide and height. In the case of the optimization processes, some of the parameters are contrained so that either the volume or surface area can be expressed in terms of one parameter, the width of the rectangular container. But when considering the related rates, some of the constraints should be removed so that the rate of change of the volume of the rectangular container can be related to the rate of change of the surface area of the rectangular container or the metal sheet through the relationships of common parameters. Steps of solving related rates of change are: 
 Vector DecompostionVector decompsition is one of the most common related rate of change. For a two dimensional rate of change vector V, the vector V can be decomposed into two related Cartesian rate of change vectors, Vx and Vy. Circular Motion DecompostionFor a two dimensional uniform circular motion, an object rotates around the origin in the xy plane with radius r at uniform angular velocity ω. The instantaneous linear velocity vector v is usually decomposed into two related Cartesian velocity vectors, vx and vy. The relationship of the two cartesian instantaneous velocity vx and vy and the two cartesian instantaneous acceleration ax and ay are   According to the given information. The two unknown rates of change are the linear displacement along x direction with respect to time t and the linear displacement along y direction with respect to time t. Both x and y are a function of r and θ. The relationship between x and y in Cartesian coordinates can be related by the angular displacement θ and the radius of rotation r. And the angular displacement θ is a function of time. The instantaneous linear velocity v is a function of radius r and angular velocity ω. For an uniform circular motion, the angular velocity ω is a constant, imply the instantaneous linear velocity v is a constant. Therefore the mathematical model of the uniform circular motion is:   The unknown rate of change is the dx/dt and dy/dt. One way of deriving the relationship of the derivatives is   Substitute all available variables,   Both x and y are a function of r and θ, imply 
         By vector addition, the velocity v is always tangent to the circular path of rotation. Since ω is constant for a uniform circular motion, the intantaneous linear velocity v is constant also. The relationship of the instantaneous cartesian velocity can also be expressed as:   The magnitude of intantaneous linear velocity v is:   But both vx and vy are variable and functions of θ. θ is a function of time t, the intantaneous linear velocity v changes with time as it rotates. And therefore the two cartesian instantaneous acceleration for the two cartesian instantaneous velocity are: 
         By vector addition, the acceleration a is always pointing toward the centre of rotation. The relationship of the instantaneous cartesian acceleration can be expressed as:   The magnitude of intantaneous linear acceleration a is:   Therefore, both the magnitude of the intantaneous linear velocity v and the intantaneous linear acceleration a are constants. But both the intantaneous linear velocity vector v and the intantaneous linear acceleration vector a are not constants and vary with the turning angle. Projectile Motion DecompostionFor a constant acceleration free-fall motion, a projectile moves along a curvilinear path. If a projectile with vertical velocity vy=5(3-2t) where initial vertical velocity is 15 and acceleration -10 and with horizontal velocity vx=2 or horizontal velocity vx=2(1+t) where initial horizontal velocity is 2 and acceleration 2. The relationship of the two cartesian instantaneous velocity vx and vy are:   Unlike the fixed relationship between the x and y displacement in circular motion, there is no fixed relationship between the x and y displacements in the constant acceleration free-fall motion. The motion of a a constant acceleration free-fall projectile can be modelled as two independent motions in the Cartesian coordinate system. Although the motion of a projectile in x direction does not affect the motion in the y direction or vice versa, the two independent motions can be related by the time of travelling. According to the given information. The two unknown rates of change are the linear displacement along x direction with respect to time t and the linear displacement along y direction with respect to time t. Both vx and vy are given as a function of t. Besides equations of motion can also be applied. Therefore the mathematical model of a constant acceleration free-fall motion for horizontal velocity vx=2 is:  The rate of change dx/dt is vx and the rate of change dy/dt is vy. Since the horizontal velocity vx is a constant, the horizontal velocity is equal in both the time and x domain. Consider the motion in x direction is:   The vertical velocity vy is equal to 5(3-2t) in the time domain, imply vy in x domain is:   Consider the motion in y direction is:   Therefore the relationship between the rates of change of dx/dt and dy/dt in the x domain is:   Since s=vt, the relationship between the rates of change of dx/dt and dy/dt in the t domain is:   Graphically in x domain:   Graphically in t domain: 
  And the mathematical model of a constant acceleration free-fall motion for horizontal velocity vx=2+2t is:  The rate of change dx/dt is vx and the rate of change dy/dt is vy. Since the horizontal velocity vx is a constant, the horizontal velocity is equal in both the time and x domain. Consider the motion in x direction is:   Consider the motion in y direction is:   The rates of change of dx/dt and dy/dt in the t domain is:   Therefore the relationship between the rates of change of dx/dt and dy/dt in the t domain is:   And express t in terms of x :   Therefore the vertical displacement in the x domain is   Therefore the rates of change of dx/dt and dy/dt in the x domain are   And the relationship between the rates of change of dx/dt and dy/dt in the x domain is:   Equate the equations, the rates of change dy/dt is a linear function dx/dt.:   Graphically in x domain:   Graphically in t domain: 
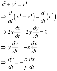
  Although the constant acceleration free-fall motion of a projectile can be modelled as two independent motions in the Cartesian coordinate system, the motion can also be modelled as a related rate of change between the vertical motion and the horizontal motion in the cartesian system accordingly. Field Vector DecompositionSometimes, instead of describing the object motion, a vector field, for example flow velocity field is used to describe field variables as functions of space and time, the vector property of the field can also be decompes into related rates of change. At steady state, the velocity field of a steady two dimensional flow does not change with time. A family of continuous curves can be drawn along the flow path such that these curves are always tangent to the velocity vectors everywhere in the velocity field. In other word, the velocity field can be described by a family of curves. Let the family of streamlines y as a function of x in a two dimension plane, imply:: 
         Geometrically, the tangent at any position along the streamline can be expressed as the deveriative of the function y with respect to x. Physically, the velocity vector can be decomposed cartesian instantaneous velocity vx and vy and the slope of the velocity vector is equal to the ratio of the two related rates, i.e. the instantaneous velocities vy in y direction and vx in x direction. imply: 
         Since this is only the tangential information of the instantaneous local velocity, no velocity can be determined from the streamline equation directly. that is: 
         If given the intantaneous horizontal velocity,   Then the intantaneous horizontal velocity can be determined: 
         Graphically the streamlines of the velocity flow field for c=-8 to 8:   ©sideway ID: 111000004 Last Updated: 10/6/2011 Revision: 0 Ref:  References 
  Latest Updated Links 
    Nu Html Checker  53  na  na |  Home 5 Business Management HBR 3 Information Recreation Hobbies 8 Culture Chinese 1097 English 339 Travel 18 Reference 79 Hardware 23 Computer Hardware 259 Software Application 213 Digitization 37 Latex 52 Manim 205 KB 1 Numeric 19 Programming Web 289 Unicode 504 HTML 66 CSS 65 SVG 46 ASP.NET 270 OS 431 DeskTop 7 Python 72 Knowledge Mathematics Formulas 8 Set 1 Logic 1 Algebra 84 Number Theory 206 Trigonometry 31 Geometry 34 Calculus 67 Engineering Tables 8 Mechanical Rigid Bodies Statics 92 Dynamics 37 Fluid 5 Control Acoustics 19 Natural Sciences Matter 1 Electric 27 Biology 1 | 
Copyright © 2000-2025 Sideway . All rights reserved Disclaimers last modified on 06 September 2019