
| Draft for Information Only Content
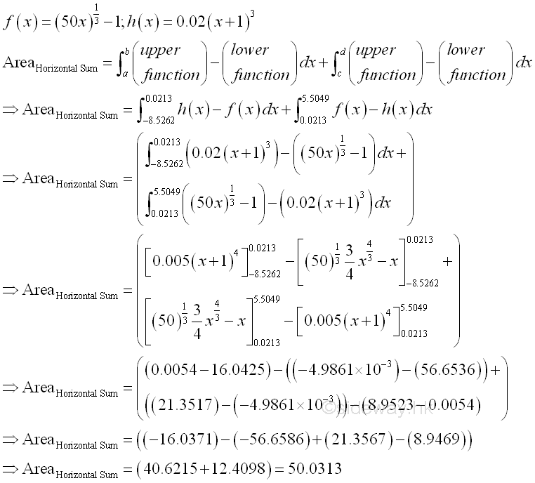
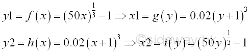
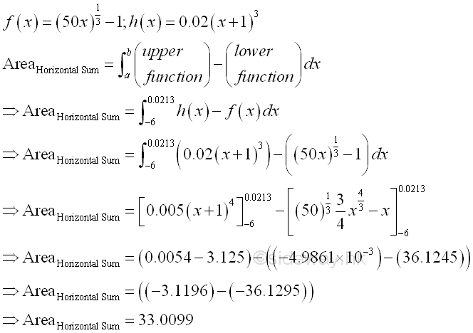
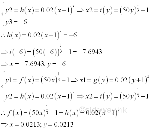
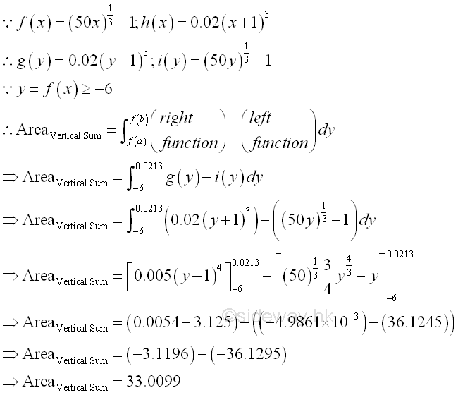
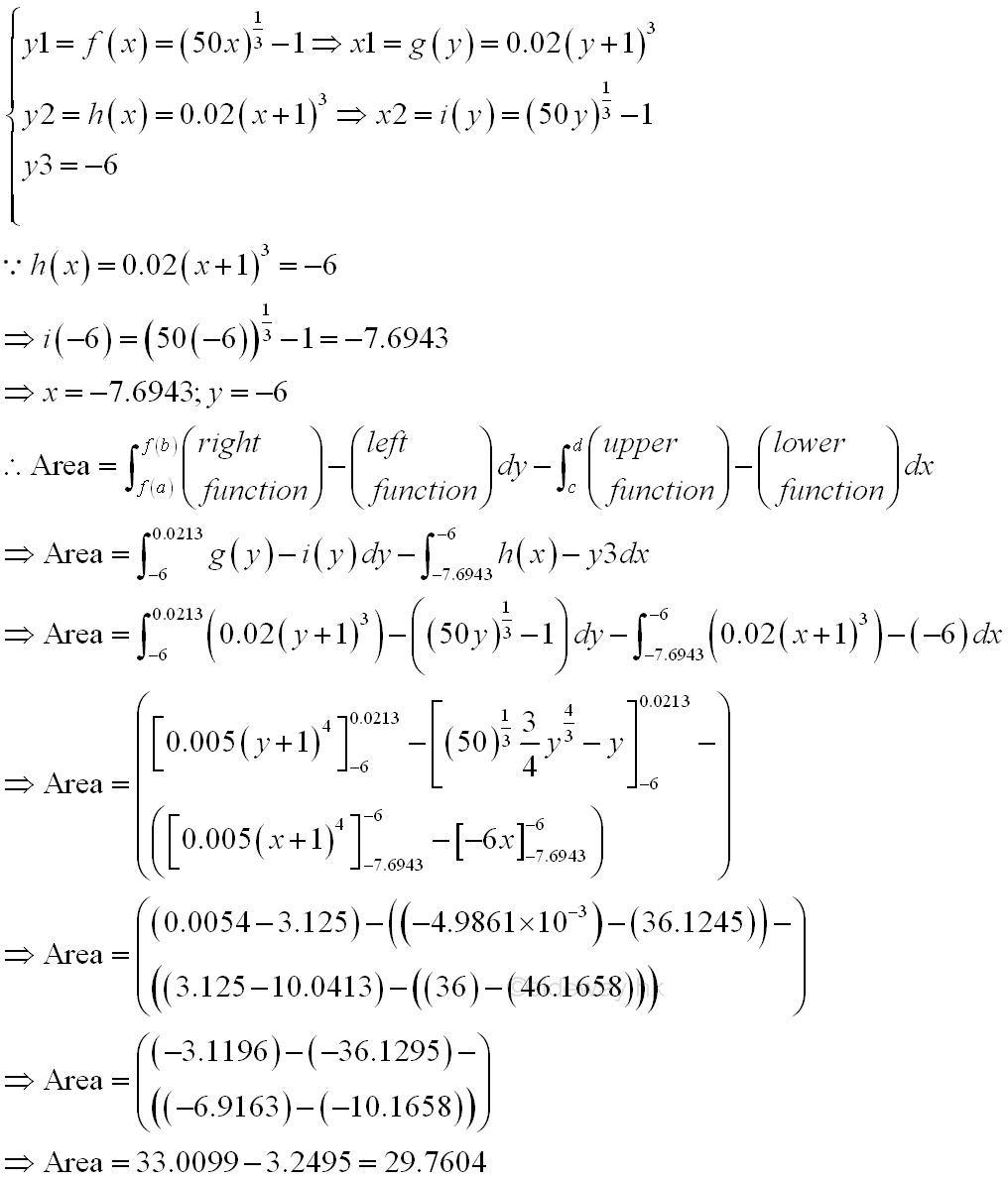
    Bounded Area by FunctionsBounded Area by FunctionsBounded area under a function or bounded area under a curve is the signed area between the curve and the axis over the closed interval [a,b]. In general, the net signed area of the curve bounded by the curve of function f(x) and the x-axis over the closed interval [a,b] by definite integral is   The net signed bounded area is the summation of all positive and negative infinitesimal elements. And therefore for problems of calculating the total bounded area of a function or concerning with the sign of the infinitesimal elements, the shape of the curve should be determined before applying the method of integration.   Depending on the arrangement of a function on the graph, there are two appraoches to calculate the bounded area between the curve and the axis. For bounded areas relatived to x axis, the bounded areas can be summed horzontally. For bounded areas relatived to y axis, the bounded areas can be summed vertically. Bounded Area between CurvesUnlike the concept of bounded area under curve, the bounded area by the curves of functions should always be positive and is equal to the total bounded area by curves of functions over the closed interval [a,b]. In order to obtain a positive area, the bounded area is always obtained by the function with larger value minus the function with smaller value. Therefore the shape of curves over the closed interval [a,b] should also be determined in order to identify all bounded areas before applying the method of integration.   In general, when summing the infinitesimal area elements horizontally, the bounded area should be determined by the upper function minus the lower function within the region.   And when summing the infinitesimal area elements vertically, the bounded area should be determined by the right function minus the left function within the region.   Bounded Area between curves by Horizontal Approach or Vertical Approach:Since the bounded area is bounded by curves of function, in some cases, the bounded area between curves can be obtained by either the horizontal sum or vertical sum approaches. For example, the two curves of two monotonically increasing functions f(x) and h(x) forms two seperated regions of bounded area within a closed interval.   The closed intervals of the two regions of bounded areas are equal to the intersections of curves. imply   The total bounded area between curves obtained by the horizontal sum approach is equal to the sum of the two regions of bounded areas. Imply   Since the bounded area is bounded by the two curves of two monotonically increasing functions f(x) and h(x), the total bounded area of the two seperated regions of bounded area within a closed interval can also be obtained by the vertical sum approach. The transformation of the two functions is   The bounded areas bounded by the two curves of two monotonically increasing functions g(x) and i(x) is   The total bounded area between curves obtained by the vertical sum approach is equal to the sum of the two regions of bounded areas. Imply   The total bounded area between curves obtained by the vertical sum approach is equal to the total bounded area between curves obtained by the horizontal sum approach. Because of the summing method is changed from horizontal to vertical, the larger function in horizontal approach is also changed to the larger function in vertical approach accordingly. And therefore the larger function is highly depending on the domain and range used in the integration process. Bounded Area between curves by Horizontal Approach:In most cases, the approach used to obtaining total bounded area between curves is limited by the shapes of curves and the bounding curves. For example, if the range in x domain is changed to [-6,0.0213], the total bounded area of the curves of functions f(x) and h(x) on the closed interval [-6,0.0213] becomes.   The easiest way to calculate the bounded area between curves is the horizontal sum approach. imply   Bounded Area between curves by Vertical Approach:And in some cases, an additional curve, e.g. y>=-6 can be used as additional constrain with the range in x domain, e.g. [-8.5262,0.0213]. The total bounded area of the curves of functions f(x), h(x) and f(x)>=-6 on the closed interval [-8.5262,0.0213] becomes.   Since y should be greater or equal to -6, the bounded area in x domain and y domain is   The easiest way to calculate the bounded area between curves is the vertical sum approach. imply   Bounded Area between curves by Horizontal and Vertical Approaches:But in some cases, when an additional curve, e.g. y>=-6 is used as additional constrain with a shorter range in x domain, e.g. [-6,0.0213]. the total bounded area of the curves of functions f(x), h(x) and f(x)>=-6 on the closed interval [-6,0.0213] becomes.   One way to calculate the bounded area between curves is using a vertical sum approach minus a horizontal sum approach. imply   Similarly the bounded area between curves can also be obtained by a horizontal sum approach minus a vertical sum approach. Another way to calculate the bounded area between curves is using horizontal sum approach only by dividing the bounded area into two regions of bounded areas. The intervals of two regions are   Therefore the bounded area between curves can also be obtained by adding two region of horizontal sum approach. Imply   Similarly the bounded area between curves can also be obtained by adding two region of vertical sum approach. ©sideway ID: 111100005 Last Updated: 11/24/2011 Revision: 0 Ref:  References 
  Latest Updated Links 
    Nu Html Checker  53  na  na |  Home 5 Business Management HBR 3 Information Recreation Hobbies 8 Culture Chinese 1097 English 339 Travel 18 Reference 79 Hardware 23 Computer Hardware 259 Software Application 213 Digitization 37 Latex 52 Manim 205 KB 1 Numeric 19 Programming Web 289 Unicode 504 HTML 66 CSS 65 SVG 46 ASP.NET 270 OS 431 DeskTop 7 Python 72 Knowledge Mathematics Formulas 8 Set 1 Logic 1 Algebra 84 Number Theory 206 Trigonometry 31 Geometry 34 Calculus 67 Engineering Tables 8 Mechanical Rigid Bodies Statics 92 Dynamics 37 Fluid 5 Control Acoustics 19 Natural Sciences Matter 1 Electric 27 Biology 1 | 
Copyright © 2000-2025 Sideway . All rights reserved Disclaimers last modified on 06 September 2019