
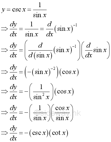
| Polynomial Draft for Information Only ContentDerivatives of Trigonometric FunctionsDerivatives of Trigonometric FunctionsTrigonometric functions are very important in practical application. Trigonmetric function f is continuous when it is defined at every real numbers x in the domain. To determine the derivatives, the real number x is the angle of the trigonometric function and is measured in radian. Limits and Trigonometric FunctionsTrigonometric functions are functions of an angle. The three basic are sine cosine and tangent. The geometric definition of trigonometric functions can be related by sides of a triangle. One important limit related to finding derivatives of trigonometric functions is the ratio of value of a trigonometric function to the angle of the trigonometric function. Geometrically, the trigonometric functions can represented by constructing triangles in a unit circle with radius r=1.   Limits and Sine FunctionAccording to the graph, consider the angle x in radian between 0 and π/2 when x approaching zero and not equal to zero, the relationship of the area of triangle w/sin x, the area of circular sector w/arc x, and the area of triangle w/tan x are:   As x decrease, cos x will increase. (sin x)/x will increase also but less than 1. Imply as x approach +0, limit of (sin x)/x exists. Rearrange the inequality:   As x approach +0, i.e. δ>x>0 imply:   Similarly as x approach -0, imply:   Therefore:   Limits and Cosine FunctionAnother important limit is:   Since cosine function and sine function are related by a right angle triangle and both functions are continuous in every numbe of the domain, the cosine function can be transformed through algebraic manipulations:   The limit of the function can be determined by:   Plots of Limits and Trigonometric FunctionsThe inequality, limits and trigonometric functions can be plotted as in the following figure:   Derivatives of Trigonometric Functions
 ©sideway ID: 110900006 Last Updated: 9/12/2011 Revision: 0 Ref:  References 
  Latest Updated Links 
    Nu Html Checker  53  na  na |  Home 5 Business Management HBR 3 Information Recreation Hobbies 8 Culture Chinese 1097 English 339 Travel 18 Reference 79 Hardware 23 Computer Hardware 259 Software Application 213 Digitization 37 Latex 52 Manim 205 KB 1 Numeric 19 Programming Web 289 Unicode 504 HTML 66 CSS 65 SVG 46 ASP.NET 270 OS 431 DeskTop 7 Python 72 Knowledge Mathematics Formulas 8 Set 1 Logic 1 Algebra 84 Number Theory 206 Trigonometry 31 Geometry 34 Calculus 67 Engineering Tables 8 Mechanical Rigid Bodies Statics 92 Dynamics 37 Fluid 5 Control Acoustics 19 Natural Sciences Matter 1 Electric 27 Biology 1 | 
Copyright © 2000-2025 Sideway . All rights reserved Disclaimers last modified on 06 September 2019