
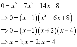
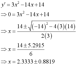
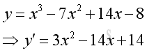
| Draft for Information Only ContentSlope of Tangent LineSlope of Tangent LineBoth the first derivative and second derivative of a function can provide the gradient information about steepness of the graph of the function. The common applications of slope of tangent are curve sketching and relative extreme value finding. Curve SketchingBefore sketching the curve of the function, some important points should be found first. The first type of points are critical points at which the derivative equals zero or does not exist. The second type of points are the stationary or turning points, they can be the position of points of inflexion, points of local minima, and points of local maxima. Another types of points are the y-intercept and x-intercepts. After finding these importants positions, the next step is to carry out a gradient or slope analysis for the basic sketching of the curve. Finally the curve can be drafted according to the acquired information. Curve Sketching ProblemThe shape of the curve of a function y=x3-7x2+14x-8 is: 
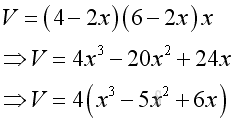
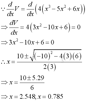
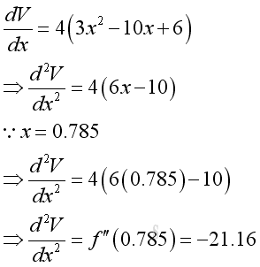
   Relative Extreme ValueOptimization is one of the most important processes in industry. When interpreting the design criteria as constraints, a design problem can then be modelled, analyzed and evaluated using a mathematical model. In general, optimization is the process of finding maximum or minimum values of a task. When expressing requirements as a function, the optimization processes becomes a finding maximum or minimum value problem. Relative Maximum ProblemGiven a sheet of metal with size 4x6 to build a retangular container with the width equal half of length. The maximum volume is: In order to make the retangular container, four square corners of lenght x are cut away.   According to the criteria, the value of x is limited in the domain [0,2]. Let x be the height, then width equals to 4-2x and length equals to 6-2x. The problem can be modelled as:   The volume of the retangular container is:   To determine the maximum volume of a rectangular container from the metal sheet, the volume can be evaluated with respect to x, that is to analyze by means of differentiation. Take the first derivative of the volume function with respect to x equals to zero to determine the stationary points:   Since x can not be equal to 2.548 because of larger than 2, x can be 0.785 only. Find the value of the second derivative at the stationary point,   Since the second derivative less than zero, the position of x=0.785 is the largest volume. That is   Graphically,   Relative Minimum ProblemGiven a sheet metal to build a retangular container with height 0.785 and volume 8.45. The minimum material used is. In order to make the retangular container, four square corners of lenght x are cut away.   According to the criteria, given volume is 8.45 and the height of the container is 0.785. Let W be the width of the rectangular container, L be the length of rectangular container. The problem can be modelled as:.   Let x be the width W of the rectangular container. The surface area of the metal sheet for the retangular container in terms of x is:   Therefore, the minimum dimension of the metal sheet is transformed to a function of the width of the rectangular container. The minimum dimension of the metal sheet can therefore can be evaluated with respect to x, the width of the rectangular container that is to analyze by means of differentiation. Take the first derivative of the surface area function with respect to x equals to zero to determine the stationary points:   Since x can not be equal to -3.2809, a negative number, x can be 3.2809 only. Find the value of the second derivative at the stationary point,   Since the second derivative greater than zero, the position of x=3.2809 is the minimum surface area of the metal sheet. That is   Graphically,   The dimension of the metal sheet is,   The minimum dimension of the metal sheet is a square metal sheet of dimension, 4.8509x4.8509=23.531. The material usage for building the rectangular container is less than the 4x6 metal sheet. The maximum value problem of the first example is the optimization of the usage of available material for the application of designing a rectangular container, while the minumum value porblem of this example is the optimization of the material usage in a required rectangular container design. ©sideway ID: 110900027 Last Updated: 9/29/2001 Revision: 0 Ref:  References 
  Latest Updated Links 
    Nu Html Checker  53  na  na |  Home 5 Business Management HBR 3 Information Recreation Hobbies 8 Culture Chinese 1097 English 339 Travel 18 Reference 79 Hardware 23 Computer Hardware 259 Software Application 213 Digitization 37 Latex 52 Manim 205 KB 1 Numeric 19 Programming Web 289 Unicode 504 HTML 66 CSS 65 SVG 46 ASP.NET 270 OS 431 DeskTop 7 Python 72 Knowledge Mathematics Formulas 8 Set 1 Logic 1 Algebra 84 Number Theory 206 Trigonometry 31 Geometry 34 Calculus 67 Engineering Tables 8 Mechanical Rigid Bodies Statics 92 Dynamics 37 Fluid 5 Control Acoustics 19 Natural Sciences Matter 1 Electric 27 Biology 1 | 
Copyright © 2000-2025 Sideway . All rights reserved Disclaimers last modified on 06 September 2019