
Property of Definite IntProperty of Indefinite IntBy Anti-DifferentiationBy SubstitutionBy Parts Draft for Information Only
Content
Rules of Integration for Indefinite
Integral
Rules of Integration for Indefinite IntegralMethod of Partial Fractions for Indefinite Integral
where Φ(x) and φ(x) are rational, integral, algebraical functions of x The integrand after denominator factorization is
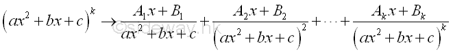
Partial Fractions ExpansionThe expansion of partial fractions is the process of converting the factors in the denominator to a sum of terms in which the denominator is determined by the denominator factors and the numerator is undetermined. Before proceeding the expansion, like terms of the factored denominator should be grouped in power form. The grouped terms in the denominator can be classified into two catalogues, linear term and quadratic term. The expansion of factor in each catalogue is governed by two rules. And the rules are summerized as following:
When letting k=1, the first and the third rules can be considered as the special case of the second and fourth rules respectively. In general, the factors in denominator can be rewritten as:
Therefore the integrand after partial fractions expansion is
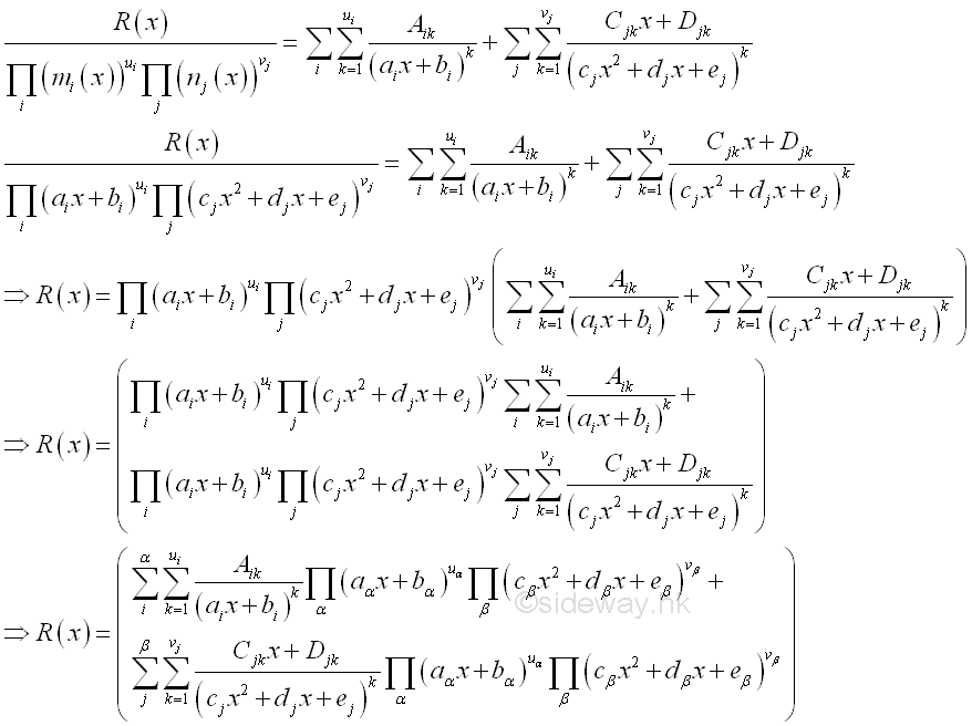
Coefficients Determination:After the factor expansion, a set of unknown coefficients A, C, D, are needed to be determined. These unknown coefficients can be calculated because the two sides of the equation. Therefore if the denominator on both sides of the equation are identical, the numerator on both sides of the equations are identical also. This can be achieved by ignoring the quotient function and considering the remaining rational function only.:
Since the denominator on the left side is the least common factor of the denominator on the right side, the equation of numerator can be obtained by cross-multiplying.
Therefore the coefficients can be determined by the equation of numerator. There are two methods to determine the coefficients:
Techniques of Computing CoefficientsIn short, the method of deducing coefficient is the indirect generation of equation of coefficient through substiting convenient values to the numerator equation and the method of comparing coefficients is the direct generation of equation of coefficient through equating the coefficients on both sides of the numerator equation. The strategy of applying these two techniques is similar to solving simultaneous linear equations of multiple variables. The simultaneous solutions set of the system of equation can be determined by using common algebrac techniques, e.g. method of elimination by substitution method, method of elimination by addition. The key differences beween them is the simulatneous linear equations is given while the system of coefficient equation is to be determined. The problem is to generate the useful equations for obtaining unit solution of the simultaneous linear equations. The key step of solving simultaneous linear equations of multiple variables is to eliminate number of variable in equations to two, so that these two variables can nullify each other. The method of deducing coefficients by substituting the root of original denominator can usually obtain simple coefficient equation. And the substition of convenient value 0 is same as determining the zero degree of the expanded equation, constant. Therefore for partial fractions with linear and repeated factors, the method of deducing coefficients is the most effective way to determine the unknown coefficients. But for quadratic factors, the method of deducing coefficients using root of the original denominator alone does not always done the job. Sometime substiuting convenient value to create the necessary numbers of equations is needed in order to nullify the unknown coefficients. Method of comparing coefficients can usually acts as the complementary tool to complete system of equations by selecting the most suitable degrees of the coefficient equation for coefficient comparing. If there is no root of origninal denominator, the simultaneous equations for determining unknown coefficients can be set up by the method of comparing coefficients. The simultaneous solutions set of the system of equation can then be determined by using common algebrac techniques, e.g. method of elimination by substitution method, method of elimination by addition. ©sideway ID: 111000027 Last Updated: 10/30/2011 Revision: 0 Ref: References
Latest Updated Links
Nu Html Checker 53 na |
![]() Home 5 Business Management HBR 3 Information Recreation Hobbies 9 Culture Chinese 1097 English 339 Travel 41 Reference 79 Hardware 55 Computer Hardware 260 Software Application 213 Digitization 37 Latex 52 Manim 205 KB 1 Numeric 19 Programming Web 289 Unicode 504 HTML 66 CSS 65 SVG 46 ASP.NET 270 OS 431 DeskTop 7 Python 72 Knowledge Mathematics Formulas 8 Set 1 Logic 1 Algebra 84 Number Theory 206 Trigonometry 31 Geometry 34 Calculus 67 Engineering Tables 8 Mechanical Rigid Bodies Statics 92 Dynamics 37 Fluid 5 Control Acoustics 19 Natural Sciences Matter 1 Electric 27 Biology 1 |
Copyright © 2000-2026 Sideway . All rights reserved Disclaimers last modified on 06 September 2019