
Draft for Information Only
Content
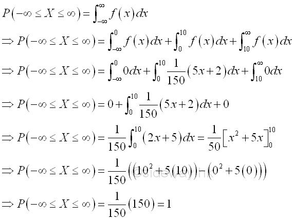
Summation of Accumulative Physical Quantity
Summation of Accumulative Physical QuantityThe application of integration can also be applied to other mechanical quantities by expressing the mechanical quantity in the form of accumulative mechanical quantity.
Moment of InertiaMoment of inertia is a measure of the resistance of an object body to change its rotational motion about an axis of rotation. For an object particle, the moment of inertia can be defined as the product of particle mass m of the object particle and the square of the radius of rotation about a reference point.
Moment of inertia of a particle of mass m about a reference point 0 with radius of rotation r is
Moment of inertia of an uniform narrow bar rotating about one of the end of barFor an uniform narrow bar of mass m, the moment of inertia of the bar rotating about its end can be obtained by slicing the moment into infinitesimal moment elements caused by infinitesimal mass elements.
Since the bar is uniform, the infinitesimal mass element can be expressed as mass per unit length, imply
Moment of inertia of an uniform narrow bar rotating about its end is.
Moment of inertia of an uniform narrow bar rotating about the midpoint of barFor an uniform narrow bar of mass m, the moment of inertia of the bar rotating about its midpoint can be obtained by slicing the moment into infinitesimal moment elements caused by infinitesimal mass elements.
Since the bar is uniform, the infinitesimal mass element can be expressed as mass per unit length, imply
Moment of inertia of an uniform narrow bar rotating about its end is.
Moment of inertia of an uniform rectangular plate about its edgeFor an uniform rectangular plane of mass m, the moment of inertia of the rectangular plate rotating about its edge can be obtained by slicing the moment into infinitesimal moment elements caused by infinitesimal mass strip elements parallel to the rotating axis.
Since the rectangular plane is uniform, the infinitesimal mass element can be expressed as mass per unit length, imply
Moment of inertia of an uniform rectangular plane rotating about its edge is.
Moment of inertia of an uniform rectangular plate about its bisectorFor an uniform rectangular plane of mass m, the moment of inertia of the rectangular plate rotating about its bisector can be obtained by slicing the moment into infinitesimal moment elements caused by infinitesimal mass strip elements parallel to the rotating axis.
Since the rectangular plane is uniform, the infinitesimal mass element can be expressed as mass per unit length, imply
Moment of inertia of an uniform rectangular plane rotating about its bisector is.
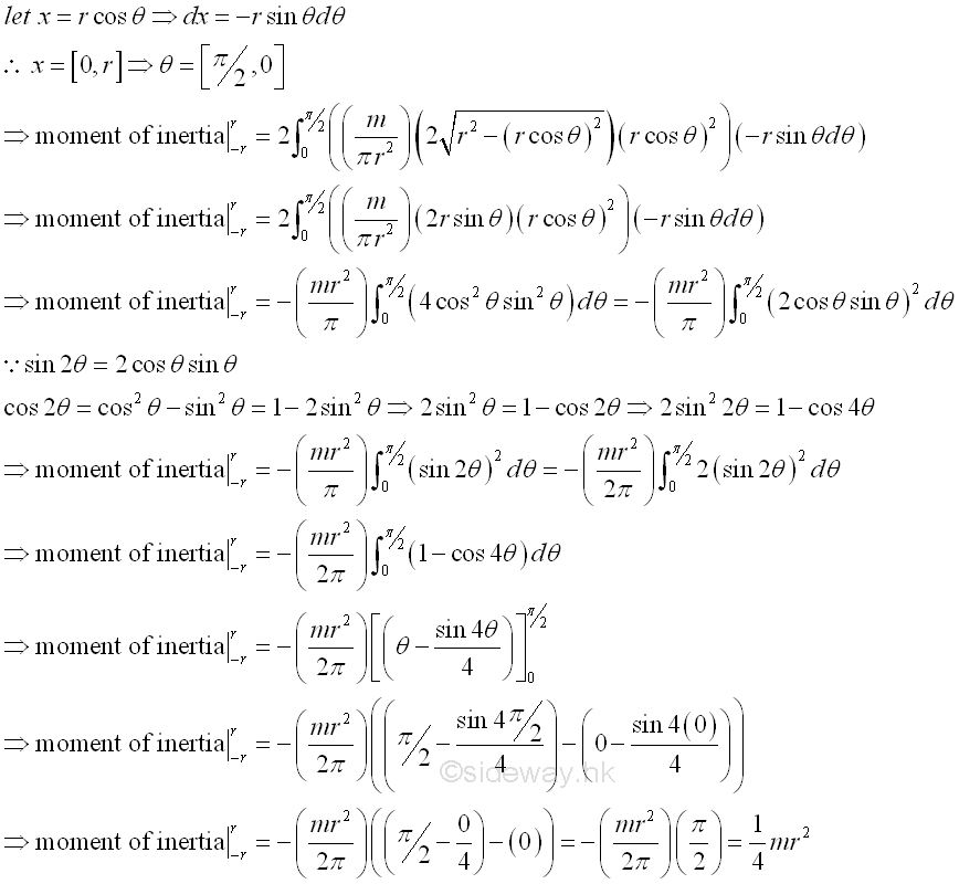
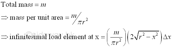
Moment of inertia of a circular plate about its diameterFor a circular plate of mass m, the moment of inertia of the circular plate rotating about its diameter can be obtained by slicing the moment into infinitesimal moment elements caused by infinitesimal mass strip elements parallel to the rotating axis.
Since the circular plate is uniform, the infinitesimal mass element can be expressed as mass per unit area, imply
Moment of inertia of a circular plate rotating about its diameter is.
Through substitution
©sideway ID: 111200007 Last Updated: 12/16/2011 Revision: 0 Ref: References
Latest Updated Links
Nu Html Checker 53 na |
![]() Home 5 Business Management HBR 3 Information Recreation Hobbies 9 Culture Chinese 1097 English 339 Travel 44 Reference 79 Hardware 55 Computer Hardware 260 Software Application 213 Digitization 37 Latex 52 Manim 205 KB 1 Numeric 19 Programming Web 289 Unicode 504 HTML 66 CSS 65 SVG 46 ASP.NET 270 OS 431 DeskTop 7 Python 72 Knowledge Mathematics Formulas 8 Set 1 Logic 1 Algebra 84 Number Theory 206 Trigonometry 31 Geometry 34 Calculus 67 Engineering Tables 8 Mechanical Rigid Bodies Statics 92 Dynamics 37 Fluid 5 Control Acoustics 19 Natural Sciences Matter 1 Electric 27 Biology 1 |
Copyright © 2000-2026 Sideway . All rights reserved Disclaimers last modified on 06 September 2019