
Draft for Information Only
Content
Summation of Accumulative Physical Quantity
Summation of Accumulative Physical QuantityThe application of integration can also be applied to other mechanical quantities by expressing the mechanical quantity in the form of accumulative mechanical quantity.
Hydrostatic ForceHydrostatic force is the normal force exerted on an submerged object due to the hydrostatic pressure of the fluid. Hydrostatic pressure is defined as the force per unit area. Therefore hydrostatic force is equal to
Since hydrostatic pressure is the equilibrium pressure at a point exerted by a fluid, the hydrostatic pressure at a point is a function of the depth of the point below the fluid surface. Imply the hydrostatic pressure is equal to
Hydrostatic force on the horizontal bottom of a rectangular tank
For a rectangular tank, the horizontal plate of the bottom is submerged at a constant depth in the fluid. Imply
Hydrostatic force on one vertical end of a rectangular tank
For a rectangular tank, the vertical end of a tank is submerged at a variable depth in the fluid. Imply
Hydrostatic force on a vertical triangular window of a rectangular tank
For a rectangular tank, the vertical triangular window of a tank is submerged at a variable depth in the fluid. Imply
Hydrostatic force on a vertical triangular window of a rectangular tank
For a rectangular tank, the vertical triangular window of a tank is submerged at a variable depth in the fluid. Imply
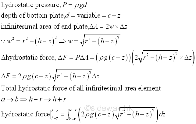
Hydrostatic force on a vertical circular window of a rectangular tank
For a rectangular tank, the vertical circular window of a tank is submerged at a variable depth in the fluid. Imply
By substitution:
And:
©sideway ID: 111200012 Last Updated: 12/25/2011 Revision: 0 Ref: References
Latest Updated Links
Nu Html Checker 53 na |
![]() Home 5 Business Management HBR 3 Information Recreation Hobbies 9 Culture Chinese 1097 English 339 Travel 44 Reference 79 Hardware 55 Computer Hardware 260 Software Application 213 Digitization 37 Latex 52 Manim 205 KB 1 Numeric 19 Programming Web 289 Unicode 504 HTML 66 CSS 65 SVG 46 ASP.NET 270 OS 431 DeskTop 7 Python 72 Knowledge Mathematics Formulas 8 Set 1 Logic 1 Algebra 84 Number Theory 206 Trigonometry 31 Geometry 34 Calculus 67 Engineering Tables 8 Mechanical Rigid Bodies Statics 92 Dynamics 37 Fluid 5 Control Acoustics 19 Natural Sciences Matter 1 Electric 27 Biology 1 |
Copyright © 2000-2026 Sideway . All rights reserved Disclaimers last modified on 06 September 2019