
TOCForceMomentCoupleSystem of Forces Draft for Information Only
ContentMechanical Constraints of Structure
Mechanical Constraints of StructureThe structure example above is completely constrained under all given loads or any other loading conditions acting on it with no other possibly move. The three unknown reactions can also be determined by the three equilibrium equations so that the structure is statically determinate or the reactions are said to be statically determinate. Completely ConstrainedFor example, a force P acting at an angle on one side of the rigid, the support and connection of the structure are still sufficient to keep the structure from moving. Therefore the structure is completely constrained
According to the types of support and connection, the free body diagram of the structure is.
Statically DeterminateThe three unknowns can be determined by the three equalibrium equations,
Statically IndeterminateA pin support provides one more constraint than the roller support. If the two supports of the structure are hinge pins, the provided constraints becomes more than necessary for holding the structure in place without moving under all given loads or any other loading conditions acting on it.
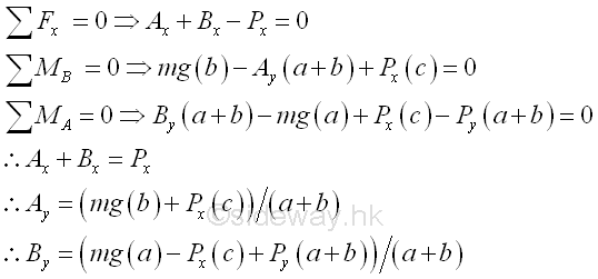
According to the types of support and connection, the free body diagram of the structure has four unknowns instead of three unknowns, imply.
There are four unknowns, but only have three independent equalibrium equations, imply
The vertical components of the reactions can be determined by taking moment at A and B. But the equilibrium of horizonal force by summation can only get the sum of the two horizontal components of the reactions. Therefore the component Ax and Bx are said to be statically indeterminate. However, these components can still be determined by the internal stress and deformation produced in the elements of the structure. Partially ConstrainedA roller support provides only one constraint to the structure. If the two supports of the structure are rollers, the provided constraints becomes less than necessary and not sufficient for holding the structure in place without moving under all given loads or any other loading conditions acting on it. The roller support can only prevent the vertical motion, the structure is still free to move horizontally. Since the structure is not constrained completely, the structure is said to be partially constrained.
According to the types of support and connection, the free body diagram of the structure has only two unknowns instead of three unknowns, imply.
There are two unknowns, but have three independent equalibrium equations, imply
The vertical components of the reactions can still be determined by taking moment at A and B. But the equilibrium of horizonal force by summation can only get a non zero horizontal components of the reactions. Therefore the horizontal components cannot satisify the equilibrium equation. In general, when there are only two unknowns and three equilibrium equations, one of the equilibrium equations will not be satisified. The resultant horizontal component of force will cause the structure to move horizontally. The equilibrium equation can be satisified unless the horizontal component of the applied force is equal to zero. Since the support and conncection cannot be used for holding the structure in place without moving under all given loads or any other loading conditions acting on it, the structure is partially constrained. Properly and Improperly ConstrainedFrom the above example, only the one with number of unknowns equal to the number of equilibrium equation is completely constrained and the reactions are statically determinated. This is the necessary condition for a properly constrained structure to be a completely constrained and the reaction are statically determined. This condition is not sufficient because the structure may have the correct number of unknowns provided by support and connection of improperly constrained. In general, a properly contrained structure should have a two dimension translational constraint and a rotational constraint. But for a improperly constrained structure, the provided constraints may only have a two dimension translational constraint, or a one dimension translational constraint and a rotational constraint. For example, a structure with three parallel constraints can only have a one dimension translational constraint and a rotational constraint.
According to the types of support and connection, the free body diagram of the structure is.
Although there are three unknowns and three independent equalibrium equations, the structure is still partially constrained and the reactions is also statically indeterminate. imply
Or a structure with three concurrent constraints can only have a two dimension translational constraint.
According to the types of support and connection, the free body diagram of the structure is.
Although there are three unknowns and three independent equalibrium equations, the reactions is still statically indeterminate and the structure is also partially constrained. imply
©sideway ID: 120200063 Last Updated: 2/18/2012 Revision: 0 Ref: References
Latest Updated Links
Nu Html Checker 53 na |
![]() Home 5 Business Management HBR 3 Information Recreation Hobbies 9 Culture Chinese 1097 English 339 Travel 45 Reference 79 Hardware 55 Computer Hardware 261 Software Application 213 Digitization 37 Latex 52 Manim 205 KB 1 Numeric 19 Programming Web 289 Unicode 504 HTML 66 CSS 65 SVG 46 ASP.NET 270 OS 431 DeskTop 7 Python 72 Knowledge Mathematics Formulas 8 Set 1 Logic 1 Algebra 84 Number Theory 206 Trigonometry 31 Geometry 34 Calculus 67 Engineering Tables 8 Mechanical Rigid Bodies Statics 92 Dynamics 37 Fluid 5 Control Acoustics 19 Natural Sciences Matter 1 Electric 27 Biology 1 |
Copyright © 2000-2026 Sideway . All rights reserved Disclaimers last modified on 06 September 2019