
TOCForceMomentCoupleSystem of ForcesStatic EquilibriumStructure Analysis Center of Gravity, Center of Mass, & CentroidFirst Moment of Plane Body Draft for Information Only
Content
Centroid of 2D
Plane Body
Centroid of 2D Plane BodyThe centroid of an plate is determined by the first moment of a two dimensional plane body with the method of the first moment of area.
And the centroid of a wire is determined by the first moment of a two dimensional plane body with the method of the first moment of line.
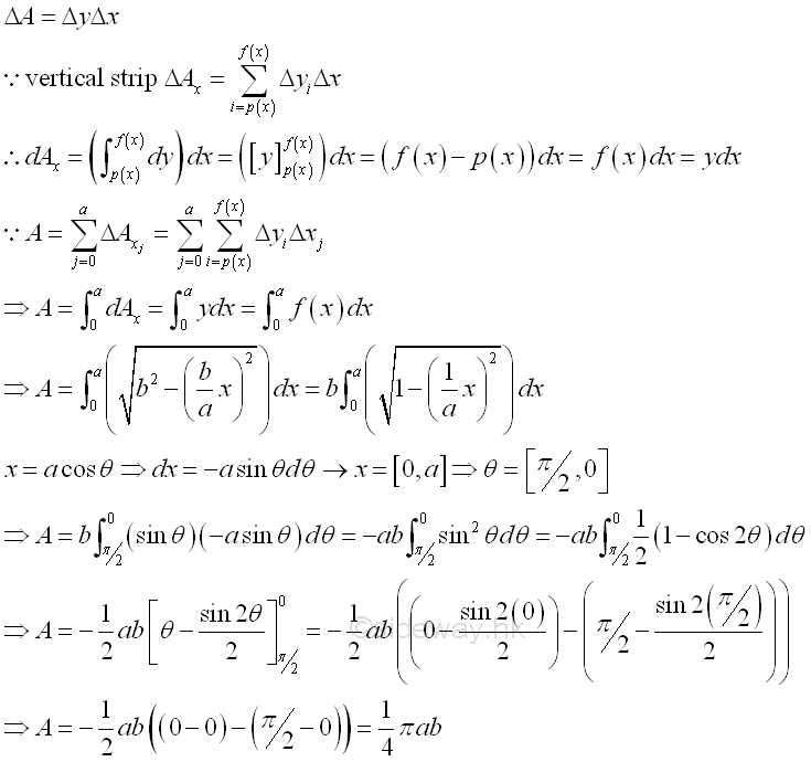
Centroids of AreasArea by IntegrationAlthough double integration is usually required to determine the planar area. However a planar area can also be determined by performing a single integration. If the inner integration of the unit elemental area is a thin elemental area. Area by Single Integration
For example, the signed area of the planar region R is bounded by curves in rectangular form , Imply
An unit elemental area ΔA in rectangular form can be defined as Δx times Δy. Imply
In general, the unit element area of a region can be extended to either a thin vertical rectangular strip or a thin horizontal rectangular strip. And the element area ΔA becomes
By using a thin rectangular strip as the element area or applying the method of strip slicing, the signed area of the planar region can be determined by a single integration through sweeping the signed elemental area strip along either rectangular coordinate axis. Imply By sweeping the horizontal strip along y axis vertically
By sweeping the vertical strip along x axis horizontally
And for curves in polar form
For example, the signed area of the planar region R is bounded by curves in polar form, Imply
An unit elemental area ΔA in polar form can be approximated by Δr times rΔθ. Imply
In general, the unit element area of a region can be extended to either a thin slice of circular sector or a thin circular arc strip. And the element area ΔA becomes.
By using a thin circular arc strip as the element area and sweeping radically, or using a thin slice of circular sector as the element area and sweeping circularly, the signed area of the planar region can be determined by a single integration through sweeping the signed elemental area starting from along either polar variables. Imply By sweeping the thin circular sector slice along variable angle θ circularly
By sweeping the thin circular arc strip along variable radius r radically ,
©sideway ID: 120600003 Last Updated: 6/2/2012 Revision: 0 Ref: References
Latest Updated Links
Nu Html Checker 53 na |
![]() Home 5 Business Management HBR 3 Information Recreation Hobbies 9 Culture Chinese 1097 English 339 Travel 45 Reference 79 Hardware 55 Computer Hardware 261 Software Application 213 Digitization 37 Latex 52 Manim 205 KB 1 Numeric 19 Programming Web 289 Unicode 504 HTML 66 CSS 65 SVG 46 ASP.NET 270 OS 431 DeskTop 7 Python 72 Knowledge Mathematics Formulas 8 Set 1 Logic 1 Algebra 84 Number Theory 206 Trigonometry 31 Geometry 34 Calculus 67 Engineering Tables 8 Mechanical Rigid Bodies Statics 92 Dynamics 37 Fluid 5 Control Acoustics 19 Natural Sciences Matter 1 Electric 27 Biology 1 |
Copyright © 2000-2026 Sideway . All rights reserved Disclaimers last modified on 06 September 2019