
TOCForceMomentCoupleSystem of ForcesStatic EquilibriumStructure Analysis 2D Plane Body Center of Gravity, Center of Mass, & CentroidFirst Moment of 3D BodyCentroid of 3D Body by IntegrationCentroid of Volume by Geometric Decomposition Draft for Information Only
Content
Theorems of Pappus-Guldinus
Theorems of Pappus-GuldinusThe theorems of Pappus-Guldinus were formulated by the Greek geometer Pappus of Alexandria during the 4th century A.D. (about 340 A.D.) and were restated by the Swiss mathematician Paul Guldinus (1640). The two theorems of Pappus-Guldinus describe the area of surface of revolution and the volume of body of revolution by the circular path traversed by their centroid during the revolution. Theorem 1: Surface of RevolutionFor the surface of a surface of revolution generated by the rotation of a plane curve about a non-intersecting axis, the surface area A of the surface of revolution is equal to the product of the curve length L of the generating curve and the travelled distance d of the centroid of the generating curve during the generation of the surface by revolution. And the travelled distance of the centroid by revolution can also be expressed in terms of the perpendicular distance y of the centroid away from the rotating axis.
Surface of Revolution
The area A of the surface of revolution can be determined by integration through the revolution of an elemental segment dL. Imply
The area A can be rearranged in the form of the integral of the first moment of an elemental segment , which can also be expressed in terms of the centrod of the generating curve, Imply
Theorem 2: Body of RevolutionFor the body of a body of revolution generated by the rotation of a plane region about a non-intersecting axis, the body volume V of the body of revolution is equal to the product of the area A of the generating plane region and the travelled distance d of the centroid of the generating region during the generation of the body by revolution. And the travelled distance of the centroid by revolution can also be expressed in terms of the perpendicular distance y of the centroid away from the rotating axis.
Body of Revolution
The volume V of the body of revolution can be determined by integration through the revolution of an elemental area dA. Imply
The volume V can be rearranged in the form of the integral of the first moment of an elemental area, which can also be expressed in terms of the centrod of the generating area, Imply
Applications of Theorems of Pappus-GuldinusThe Theorems of Pappus-Guldinus provides a simple relationship between the area of surface of revolution or the volume of body of revolution and the centroid of the generating plane curve or the centroid of the generating plane area. Therefore the Theorems of Pappus-Guldinus can be used to determine the area of surface of revolution and the volume of body of revolution from the generating curve and the generating area accordingly. And the centroid of a generating plane curve and the centroid of a generating plane area can also be determined from the surface of revolution and body of revolution accordingly. Surface of RevolutionCylinder
Area of cylinder of surface of revolution is
Area of cylinder of surface of revolution by theorem of Pappus-Guldinus is
Cone
Area of cone of surface of revolution is
Area of cone of surface of revolution by theorem of Pappus-Guldinus is
Sphere
Area of sphere of surface of revolution is
Area of sphere of surface of revolution by theorem of Pappus-Guldinus is
Torus
Area of torus of surface of revolution is
Area of torus of surface of revolution by theorem of Pappus-Guldinus is
Solid of RevolutionCylinder
Volume of cylinder of body of revolution is
Volume of cylinder of body of revolution by theorem of Pappus-Guldinus is
Cone
Volume of cone of surface of revolution is
Volume of cone of surface of revolution by theorem of Pappus-Guldinus is
Sphere
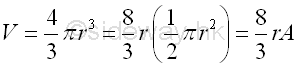
Volume of sphere of surface of revolution is
Volume of sphere of surface of revolution by theorem of Pappus-Guldinus is
Torus
Volume of torus of surface of revolution is
Volume of torus of surface of revolution by theorem of Pappus-Guldinus is
©sideway ID: 120700003 Last Updated: 7/9/2012 Revision: 0 Ref: References
Latest Updated Links
Nu Html Checker 53 na |
![]() Home 5 Business Management HBR 3 Information Recreation Hobbies 9 Culture Chinese 1097 English 339 Travel 45 Reference 79 Hardware 55 Computer Hardware 261 Software Application 213 Digitization 37 Latex 52 Manim 205 KB 1 Numeric 19 Programming Web 289 Unicode 504 HTML 66 CSS 65 SVG 46 ASP.NET 270 OS 431 DeskTop 7 Python 72 Knowledge Mathematics Formulas 8 Set 1 Logic 1 Algebra 84 Number Theory 206 Trigonometry 31 Geometry 34 Calculus 67 Engineering Tables 8 Mechanical Rigid Bodies Statics 92 Dynamics 37 Fluid 5 Control Acoustics 19 Natural Sciences Matter 1 Electric 27 Biology 1 |
Copyright © 2000-2026 Sideway . All rights reserved Disclaimers last modified on 06 September 2019